Performance Proven by Independent Testing.
An EPD (Environmental Product Declaration) is a standardized report that shows the environmental impact of a product over its entire life cycle—from raw materials to manufacturing, use, and end-of-life disposal.
It is based on a Life Cycle Assessment (LCA) and follows international standards such as ISO 14025 and ISO 14040/44
Ecobeton-USA’s Vetrofluid Environmental Product Declaration (EPD) reports a cradle-to-gate carbon footprint of approximately 0.41 kg CO₂e per kg of product (A1–A5)—a very small environmental footprint compared with the concrete it protects. When the extended service life Vetrofluid provides is considered, the potential lifecycle carbon savings can be substantial.
Click here to review the Ecobeton-USA Vetrofluid EPD.
ASTM C78 – Flexural Strength Test
Performed by: AZTECH, April 2021
Result summary: After 28-days, top surface treated concrete beams increased in flexural strength by approximately 20% over untreated beams.
This strengthens the internal structure of the concrete, reducing porosity and improving cohesion.
Higher density means fewer voids and microcracks, resulting in greater durability, lower water absorption, and better long-term performance. Increased flexural strength improves resistance to bending stresses, reduces cracking, and enhances load-bearing capacity.
Untreated Beam: Strength 795 PSI
Top Surface Treated Beam: Strength 950 PSI
ASTM C666 – Freeze Thaw Resistance Testing
Performed by: SGS TEC, December 2020
Result summary: After 300 Freeze / Thaw Cycles, Vetrofluid treated concrete maintain 94% integrity without further detectable loss after the first 38 cycles.
Freeze–thaw cycles can severely damage concrete. Water enters through pores and cracks, and when temperatures drop, it freezes and expands by about 9%. This expansion creates internal pressure that forms microcracks, allowing even more water to penetrate and accelerating deterioration with each cycle.
Vetrofluid stops this cycle by preventing water intrusion. Its penetrating formula chemically reacts within the concrete to form a permanent barrier inside pores, capillaries, and microcracks. By sealing these pathways, it drastically reduces water absorption and eliminates the internal pressures caused by freezing water.
The result is stronger, longer-lasting concrete with improved resistance to cracking, scaling, spalling, and long-term freeze–thaw damage.
Army Corps of Engineers CRD-C 48-92 – Water Permeability of Concrete
Performed by: SGS TEC, September 2020
Result summary: Verofluid treated concrete was subjected to 200 PSI of water for 10 days with virtually no penetration. Results measured at 0.000169033 FT3/FT2/Year. (~1 U.S. teaspoon / year) – This means it can both contain water inside structures like tanks, pools, and canals—and prevent water from entering basements, tunnels, and other below-grade structures.
ASTM 1585 – Standard Test Method for Measurement of Rate of Absorption of Water by Hydraulic-Cement Concretes Performed by: University of California, Berkeley, August 2024
Result summary: Vetrofluid treated specimens were submerged in water for 11 days, then weighed and compared to the control specimens. The Vetrofluid treated sample showed a 51.4% decrease in absorption.
Water intrusion is the primary cause of concrete deterioration. Because concrete is inherently porous, water penetrates easily—leading to cracking, spalling, and eventual structural failure. When water carries salts and chlorides, it can chemically attack the concrete, accelerating damage.
ASTM C1453 – Chloride Ponding Testing
Performed by: SGS TEC, January 2021
Result summary: Vetrofluid concrete resists chloride acids. See standard concrete break down and expose aggregate while Vetrofluid treated concrete maintains its integrity.
Concrete is durable, but it is not chemically immune. Salts, chlorides, industrial chemicals, and acids can progressively weaken even high-quality concrete.
Chlorides from deicing salts and marine environments penetrate through pores and microcracks, weakening the internal structure over time. Industrial chemicals such as sulfates, fertilizers, wastewater byproducts, and harsh cleaners trigger reactions that cause expansion, cracking, scaling, and loss of strength.
Acids are even more aggressive, reacting with the cement paste and dissolving the material itself. This leaves the surface soft, porous, and progressively weakened.
In most cases, deterioration begins when these aggressive substances enter the concrete’s pore structure, where chemical reactions and structural damage begin.
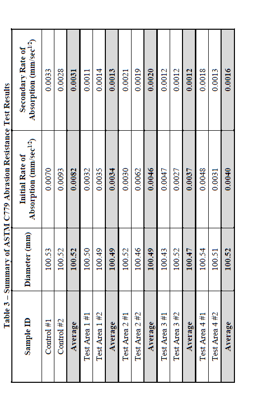
ASTM C779-C – Standard Test Method for Abrasion Resistance of Horizontal Concrete Surfaces Performed by: SGS TEC, May 2024
Result summary: 4 Test sections were treated with Vetrofluid at various application rates, then a standard abraision test was ran and compared to the control. Vetrofluid tested samples reflected a 30% improvement over the control.
Abrasion resistance measures a surface’s ability to withstand wear from traffic, friction, and repeated use. Higher abrasion resistance improves durability, extends service life, reduces maintenance, and enhances performance in demanding environments such as heavy traffic areas, extreme weather, and industrial settings.
This improvement helps concrete resist wear, erosion, and material loss—preserving structural integrity and appearance while reducing repair costs over time.
Vetrofluid Waterproofs Cracks, and Heals Cracks up to .3 mm
Performed by: AZTECH February 2024, Walsh October 2025
Result summary: Ultrasonic Pulse Velocity testing performed by seperate testing agencies in different states confirmed that Vetrofluid achieves full depth penetration of cracks, and heals cracks up to .3 mm.
For larger cracks, Vetrofluid provides powerful, functional waterproofing. It penetrates sideways into the surrounding concrete, strengthening the crack walls and blocking water intrusion. And even if water enters the open gap, the treated concrete won’t be harmed—the sides are protected, and the open top gives any freezing water space to expand safely. That means no freeze–thaw damage and no spreading cracks.
Vetrofluid Displaces Embedded Contaminants.
As Vetrofluid penetrates the concrete matrix—up to 1.5 inches in existing concrete and up to 3 inches in new concrete when used as a curing agent—it fills the pores within the material. During this process, contaminants trapped in the pores are displaced and pushed to the surface. These may include salts, chlorides, oils, deicing fluids, even mercury.
Once the contaminants are removed, the pores are sealed, preventing their return. The result is a slab that is not only protected from surface contamination but also cleared of internal contamination.
Vetrofluid was used to strengthen the concrete surrounding a parking garage spall repair. As Vetrofluid filled the pores it pushed the mold, dirt, and grime out of the concrete and prevented it’s return. The result is cleaner concrete in addition to permanent protection.
Both sides of this sidewalk were thoroughly cleaned, but only the left side received a Vetrofluid treatment to seal the pores. After 30 days, both areas were power washed again. The treated surface cleaned faster and produced significantly better results than the untreated side.
Summary of Additional Testing Available for Review:
ASTM C1202 Rapid Chloride Ion Penetrability: 448 C (< 61%*)
ASTM E96 Water Vapor Transmission: < 26%
ASTM E303 Skid Resistance: Negligible difference wet & dry between treated and untreated
ASTM C1543 15% NaCl Solution Absorption1): < 59%
15% NaCl Solution Vapor Transmission < 26%
ASTM 156 Water Retention: Comparable results with membrane curing compounds.
MTO LS-412 Salt Scaling Resistance: 0.123 kg/m2 (std < 0.8 kg/m2)
MTO LS-417 Chloride Content: 0.231% by mass (<16%*)
EN 13892 Abrasion resistance: improvement > 30%
EN 1062-3 Capillary absorption and water permeability: w < 0.1 kg/m2 x h0,5
EN 13529 Chemical resistance (astringent attack): no visible defects
EN 13687-1 Thermal compatibility: ≥ 1.5 N/mm2
EN ISO 6272-1 Falling-weight test: Classes Ill: ≥ 20 Nm
EN 1542 Bond strength by pull-off: ≥ 1.5 N/mm2
EN 13501-1 Reaction to fire tests: Euro class A1
Depth of penetration: > 40 mm























